2021. 2. 26. 02:33ㆍ정 보 처 리 기 사 공 부/필 기
2과목 : 소프트웨어 개발
1. 소프트웨어 패키징 도구 활용 시 고려 사항으로 틀린 것은?
정답 : 보안을 위하여 이기종 연동을 고려하지 않아도 된다.
2. EAI(Enterprise Application Integration) 구축유형 중 Hybrid에 대한 설명으로 틀린 것은?
정답 : 중간에 미들웨어를 두지 않고 각 애플리케이션을 point to point로 연결한다.
3. 소스코드 품질분석 도구 중 정적분석 도구가 아닌 것은?
정답 : valance
4. 다음 Postfix 연산식에 대한 연산결과로 옳은 것은?
3 4 * 5 6 * +
정답 : 42
5. 인터페이스 보안을 위해 네트워크 영역에 적용될 수 있는 것으로 거리가 먼 것은?
정답 : SMTP
6. 검증(Validation) 검사 기법 중 개발자의 장소에서 사용자가 개발자 앞에서 행해지며, 오류와 사용상의 문제점을 사용자와 개발자가 함께 확인하면서 검사하는 기법은?
정답 : 알파검사
7. 다음의 초기 자료에 대하여 삽입 정렬(Insertion sort)을 이용하여 오름차순 정렬할 경우 1회전 후의 결과는?
초기 자료 : 8, 3, 4, 9, 7
정답 : 3, 8, 4, 9, 7
8. 소프트웨어 설치 메뉴얼에 대한 설명으로 틀린 것은?
정답 : 설치 메뉴얼은 개발자 기준으로 작성한다.
9. 인터페이스 구현 검증 도구가 아닌 것은?
정답 : ESB
10. 소프트웨어 형상 관리에서 관리 항목에 포함되지 않는 것은?
정답 : 프로젝트 개발 비용
11. 다음 설명에 해당하는 것은?
물리적 저장 장치의 입장에서 본 데이터 베이스 구조로서 실제로 데이터베이스에 저장될 레코드의 형식을 정의하고 저장 데이터 항목의 표현 방법, 내부 레코드의 물리적 순서 등을 나타낸다.
정답 : 내부 스키마
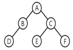
12. 다음 트리에 대한 INORDER 운행 결과는?

정답 : D B A E C F
13. n 개의 노드로 구성된 무방향 그래프의 최대 간선수는?
정답 : n(n-1)/2
14. 다음이 설명하는 테스트 용어는?
- 테스트의 결과가 참인지 거짓인지를 판단하기 위해서 사전에 정의된 참값을 입력하여 비교하는 기법 및 활동을 말한다.
- 종류에는 참, 샘플링, 휴리스틱, 일관성 검사가 존재한다.
정답 : 테스트 오라클
15. 빌드 자동화 도구에 대한 설명으로 틀린 것은?
정답 : Jenkins는 Groovy기반으로 한 오픈소스로 안드로이드 앱 개발 환경에서 사용된다.
16. 저작권 관리 구성 요소에 대한 설명이 틀린 것은?
정답 : 콘텐츠 분배자(Contents Distributor) : 콘텐츠를 메타 데이터와 함께 배포 가능한 단위로 묶는 기능
17. 블랙박스 테스트 기법으로 거리가 먼 것은?
정답 : 기초 경로 검사
18. 해싱함수 중 레코드 키를 여러 부분으로 나누고, 나눈 부분의 각 숫자를 더하거나 XOR한 값을 홈 주소로 사용하는 방식은?
정답 : 폴딩법
19. 다음에서 설명하는 클린 코드 작성 원칙은?
- 한 번에 한 가지 처리만 수행한다.
- 클래스/메소드/함수를 최소 단위로 분리한다.
정답 : 단순성
20. 디지털 저작권 관리(DRM) 기술과 거리가 먼 것은?
정답 : 콘텐츠 오류 감지 및 복구
21. 인터페이스 보안을 위해 네트워크 영역에 적용될 수 있는 솔루션과 거리가 먼 것은?
정답 : SMTP
22. 소프트웨어 공학의 기본 원칙이라고 볼 수 없는 것은?
정답 : 최대한 많은 인력 투입
23. 패키지 소프트웨어의 일반적인 제품 품질 요구사항 및 테스트를 위한 국제 표준은?
정답 : ISO/IEC 12119
24. 다음 중 클린 코드 작성원칙으로 거리가 먼 것은?
정답 : 중복이 최대화된 코드 작성
25. 블랙박스 테스트의 유형으로 틀린 것은?
정답 : 조건, 루프 검사
26. 제어흐름 그래프가 다음과 같을 때 McCabe의 cyclomatic 수는 얼마인가?

정답 : 4
27. 다음 자료에 대하여 선택(Selection) 정렬을 이용하여 오름차순으로 정렬하고자 한다. 3회전 후의 결과로 옳은 것은?
37, 14, 17, 40, 35
정답 : 14, 17, 35, 40, 37
28. 형상 관리 도구의 주요 기능으로 거리가 먼 것은?
정답 : 정규화(Normalization)
29. 다음 트리를 Preorder 운행법으로 운행할 경우 가장 먼저 탐색되는 것은?

정답 : A
30. 소프트웨어 품질 목표 중 주어진 시간동안 주어진 기능을 오류없이 수행하는 정도를 나타내는 것은?
정답 : 신뢰성
31. 알고리즘 설계 기법으로 거리가 먼 것은?
정답 : Static Block
32. 제품 소프트웨어의 형상 관리 역할로 틀린 것은?
정답 : 프로젝트 개발비용을 효율적으로 관리
33. 제품 소프트웨어 패키징 도구 활용 시 고려사항이 아닌 것은?
정답 : 내부 콘텐츠에 대한 보안은 고려하지 않는다.
34. 디지털 저작권 관리(DRM) 기술과 거리가 먼 것은?
정답 : 콘텐츠 오류 감지 및 복구
35. 물리데이터 저장소의 파티션 설계에서 파티션 유형으로 옳지 않은 것은?
정답 : 유닛분할(Unit Partitioning)
36. 다음이 설명하는 애플리케이션 통합 테스트 유형은?
- 깊이 우선 방식 또는 너비 우선 방식이 있다.
- 상위 컴포넌트를 테스트하고 점증적으로 하위 컴포넌트를 테스트한다.
- 하위 컴포넌트를 개발이 완료되지 않은 경우 스텁(Stub)을 사용하기도 한다.
정답 : 하향식 통합 테스트
37. 인터페이스 구현시 사용하는 기술 중 다음 내용이 설명하는 것은?
JavaScript를 사용한 비동기 통신기술로 클라이언트와 서버간에 XML 데이터를 주고 받는 기술
정답 : AJAX
38. 소프트웨어 재공학이 소프트웨어의 재개발에 비해 갖는 장점으로 거리가 먼 것은?
정답 : 개발시간의 증가
39. 알파, 베타 테스트와 가장 밀접한 연관이 있는 테스트 단계는?
정답 : 인수 테스트
40. 다음 트리의 차수(degree)는?

정답 : 3
41. 정렬된 N개의 데이터를 처리하는데 O(Nlog2N)의 시간이 소요되는 정렬 알고리즘은?
정답 : 합병정렬
42. White Box Testing에 대한 설명으로 옳지 않은 것은?
정답 : Base Path Testing, Boundary Value Analysis가 대표적인 기법이다.
43. 소프트웨어 품질 측정을 위해 개발자 관점에서 고려해야 할 항목으로 거리가 먼 것은?
정답 : 간결성
44. 인터페이스 구현 검증 도구 중 아래에서 설명하는 것은?
- 서비스 호출, 컴포넌트 재사용 등 다양한 환경을 지원하는 테스트 프레임워크
- 각 테스트 대상 분산 환경에 데몬을 사용하여 테스트 대상 프로그램을 통해 테스트를 수행하고, 통합하여 자동화하는 검증 도구
정답 : STAF
45. EAI(Enterprise Application Integration)의 구축 유형으로 옳지 않은 것은?
정답 : Tree
46. 다음 트리를 전위 순회(preorder traversal)한 결과는?
정답 : +**/ABCDE
47. 인터페이스 보안을 위해 네트워크 영역에 적용될 수 있는 솔루션과 거리가 먼 것은?
정답 : SMTP
48 : 평가 점수에 따른 성적 부여는 다음 표와 같다. 이를 구현한 소프트웨어를 경계값 분석 기법으로 테스트 하고자 할 때 다음 중 테스트 케이스의 입력 값으로 옳지 않은 것은?

정답 : 90
49. 반정규화(Denormalization) 유형 중 중복 테이블을 추가하는 방법에 해당하지 않는 것은?
정답 : 빌드 테이블의 추가
50. ISO/IEC 9126의 소프트웨어 품질 특성 중 기능성(Functionlity)의 하위 특성으로 옳지 않은 것은?
정답 : 학습성
51. 다음 트리의 차수(degree)와 단말 노드(terminal node)의 수는?

정답 : 차수 : 2, 단말 노드 : 4
52. 디지털 저작권 관리(DRM)의 기술 요소가 아닌 것은?
정답 : 방화벽 기술
53. 소프트웨어 테스트에서 오류의 80%는 전체 모듈의 20% 내에서 발견된다는 법칙은?
정답 : Pareto의 법칙
54. 소프트웨어 형상 관리의 의미로 적절한 것은?
정답 : 개발 과정의 변경 사항을 관리 하는 것
55. 알고리즘 시간복잡도 O(I)이 의미하는 것은?
정답 : 알고리즘 수행시간이 입력 데이터 수와 관계없이 일정
56. 소스코드 품질분석 도구 중 정적분석 도구가 아닌 것은?
정답 : valMeter
57. 검증 검사 기법 중 개발자의 장소에서 사용자가 개발자 앞에서 행하는 기법이며, 일반적으로 통제된 환경에서 사용자와 개발자가 함께 확인하면서 수행되는 검사는?
정답 : 알파 검사
58. 하향식 통합에 있어서 모듈간의 통합 시험을 위해 일시적으로 필요한 조건만을 가지고 임시로 제공되는 시험용 모듈을 무엇이라고 하는가?
정답 : Stub
59. SW 패키징 도구 활용 시 고려 사항과 거리가 먼 것은?
정답 : 보안상 단일 기종에서만 사용할 수 있도록 해야한다.
60. 외계인코드(Alien code)에 대한 설명으로 옳은 것은?
정답 : 아주 오래되거나 참고문서 또는 개발자가 없어 유지보수 작업이 어려운 프로그램을 의미한다.
'정 보 처 리 기 사 공 부 > 필 기' 카테고리의 다른 글
| 정보 처리 기사 필기 - 2019.08.04 (0) | 2021.03.04 |
|---|---|
| 정보 처리 기사 필기 - 정보 시스템 구축 관리 (0) | 2021.03.03 |
| 정보 처리 기사 필기 - 프로그래밍 언어 활용 (0) | 2021.02.27 |
| 정보 처리 기사 필기 - 데이터베이스 구축 (0) | 2021.02.27 |
| 정보 처리 기사 필기 - 소프트웨어 설계 (0) | 2021.02.26 |